中国慢性病前瞻性研究:随机血糖也可预测心血管风险

时间:2016-08-01

浏览量:1545

一个没有糖尿病的人,如果随机血糖水平也没达到糖尿病水平,心血管病风险如何?近期中国慢性病前瞻性研究对46万余人随访7年的研究显示,即使血糖水平在正常范围内,随着随机血糖的升高,心血管病风险也还是升高的。

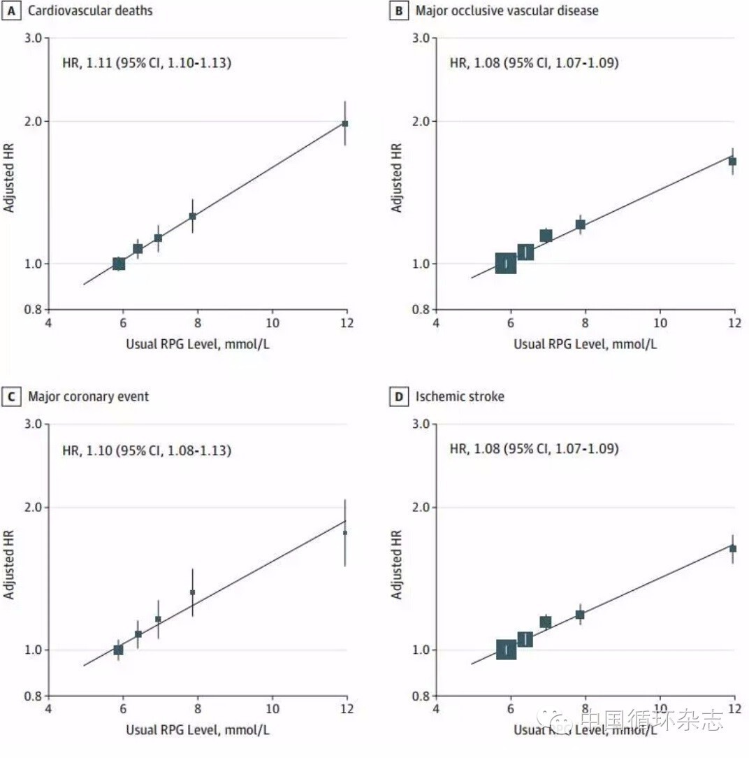
研究显示,从随机血糖水平>4.0 mmol/L起,其心血管病风险就随着随机血糖升高而升高。随机血糖水平>5.9 mmol/L时,每升高1 mmol/L,就会升高8%~11%的严重缺血性心血管病和心血管死亡风险,以及5%的出血性脑卒中风险(图1)。


图1 校正相关因素后不同随机血糖水平心血管病及心血管死亡风险比

注:上述研究结果已据年龄、性别、区域分层,并校正了教育水平、吸烟、饮酒、收缩压和体力活动水平

这项研究共纳入中国5个城市和5个农村地区的467 508位30~79岁居民,均无糖尿病、缺血性心脏病、脑卒中、短暂性脑缺血病史,女性占59%。基线平均随机血糖水平为5.9 mmol/L,女性略高于男性。

随访7年时,共有19214人死亡,其中6645人死于心血管病;另外共发生3270例主要冠脉事件,19153例缺血性脑卒中,22023例主要闭塞性血管疾病,4326例出血性脑卒中。

来源:Bragg F, Li L, Bennett D, et al. Association of Random Plasma Glucose Levels With the Risk for Cardiovascular Disease Among Chinese Adults Without Known Diabetes. JAMA Cardiol. 2016 Jul 20.


阜外院训

敬业 · 仁爱 · 求实 · 攀登

军队文化

对党忠诚,信念坚定,听党指挥,从大局出发,全心全意为人民服务, 注重团队协作,组织纪律严明

协和文化

协和精神:严谨、求精、勤奋、奉献思想内核:崇尚科学、崇尚知识、 专业态度和专业精神表现方式:凝重、内敛、不张扬、重视口碑效应

精英文化

始终以成为行业内精英医院为奋斗目标以【培养国家级心血管病专家为己任】

患者服务

预约挂号

出诊信息

重点科室

在线留言

医院地址

0871-65199777

返回顶部